Updated Product & Service

防潮堤・護岸の設計計算 Ver.4

重力式、扶壁式、突形式に対応した防潮堤の設計計算プログラム

港湾
電子納品
3D PDF
AI

●新規価格 ¥385,000(税抜¥350,000)


●リリース2025年12月

Ver.4の改定内容

「防潮堤・護岸の設計計算 Ver.4」の主な改定内容についてご紹介いたします。

・「漁港・漁場の施設の設計参考図書 2023年版」に対応
・F8-AI™ UCサポートに対応


「漁港・漁場の施設の設計参考図書 2023年版」に対応

主な対応内容は、変動状態(波の谷作用時)、変動状態(波の峰作用時)、そして、偶発状態(津波作用時)における波力の対応が挙げられます。以下に、本基準に示されている式の一部を抜粋してご紹介します。


変動状態(波の谷作用時)

壁前面に作用する負の波圧を考慮します。〈負の波圧〉



ここに、
 pn : 一様部における波圧強度(kN/m2)
 γw: 水の単位体積重量(kN/m3)
 λ0: 波高の補正係数
 Hd : 設計で用いる進行波としての有義波高(m)


図1 壁面に波の谷がある場合の波圧分布図


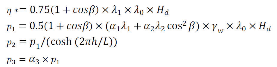
変動状態(波の峰作用時)

合田式に加え、消波工で被覆された直立壁に作用する波力、遊水部付き消波工で被覆された直立壁に作用する波力などを考慮します。各波圧式においては、波圧の補正係数λ1・λ2、揚圧力の補正係数λ3の取扱いがそれぞれ異なります。本製品では、これらの補正係数を内部計算しますが、必要に応じて直接入力することも可能です。ここでは合田式を紹介します。


〈合田式〉


ここに、
 η* : 波圧強度が0となる高さ(m)
 p1 : 静水面における波圧強度(kN/m2)
 p2 : 海底面における波圧強度(kN/m2)
 p3 : 直立壁の底面における波圧強度(kN/m2)
 α1, α2, α3 :波圧係数
 λ1, λ2 : 波圧の補正係数
 L : 水深hにおける波長(m)

図2 壁面に波の峰がある場合の波圧分布図


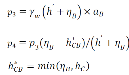
偶発状態(津波作用時)

谷本式、修正谷本式、静水圧差による算定、水工研式、並びに、胸壁に働く津波波力などの対応が挙げられます。ここでは水工研式を紹介します。


〈水工研式〉
・前面波力(非越流時はp2=0)


・背面波力(ηB≦hCの時はp4=0)


ここに、
 η : 静水面上の前面の津波高さ(m)
 ηB : 静水面上の背面の津波高さ(m)
 h’ : 堤体の前面における水深(m)
 hC : 堤体の静水面上の高さ(m)
 p2 : 直立壁背面における負圧(kN/m2)
 a1 : 前面の静水圧補正係数
 aB : 背面の静水圧補正係数


図3 水工研式による津波波力


F8-AI™ UCサポート

弊社製品では、入力操作や設計支援を目的としたAI機能への対応を進めています。
UC-1シリーズでは、「F8-AI™ UCサポート」として、入力操作や計算理論の解説など、サポート窓口へお問い合わせいただくことなく製品内で解決可能な手段をご提供します。
※メイン画面上部のメニューまたは左側の「F8-AI™」より開始
※多言語対応

※音声入力対応


図4 F8-AI™ UCサポート


(Up&Coming '26 新年号掲載)

LOADING